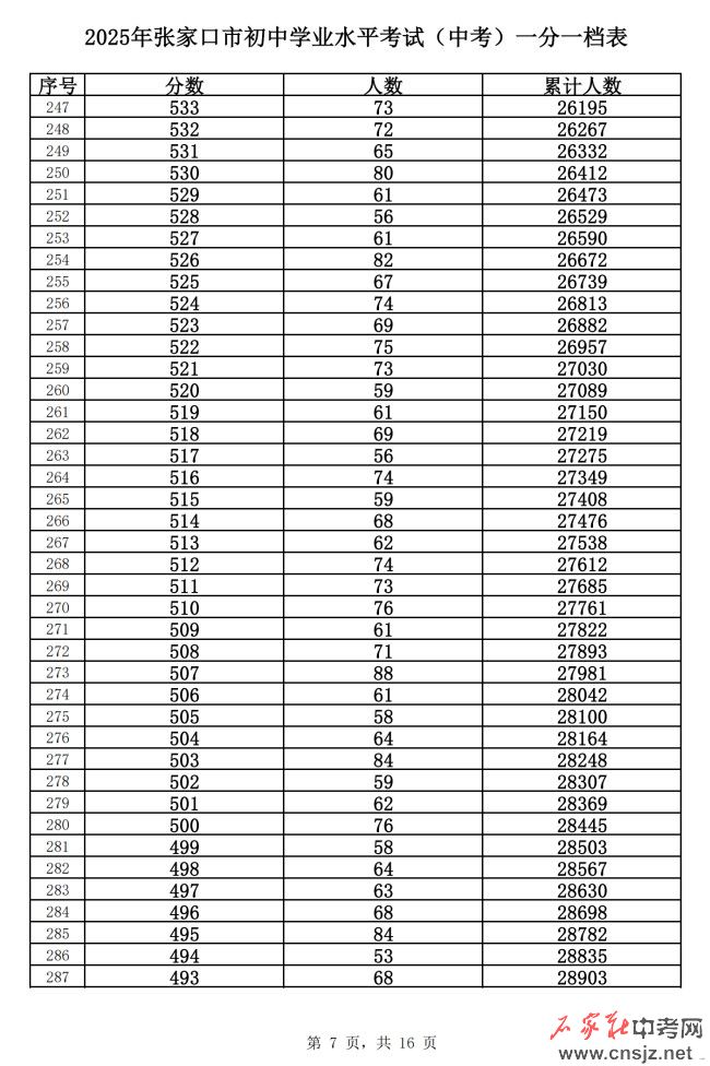
2025年張家口中考成績(jī)一分一檔表 來(lái)源:石家莊中考網(wǎng) 2025-07-11 10:43:00 閱讀() 評(píng)論() 2025年張家口中考成績(jī)一分一檔表… 2025年張家口中考成績(jī)一分一檔表 張家口中考更多信息請(qǐng)關(guān)注張家口中考網(wǎng)(cadomania.org)。 張家口中考 張家口成績(jī)一分一檔 贊